有 304 筆資料符合您搜尋的條件

dream10
2016年 1月 4日, 22:43
版面: 高中職教甄討論區
主題: 直角坐標 數列 兩題求解
回覆: 7
觀看: 43204

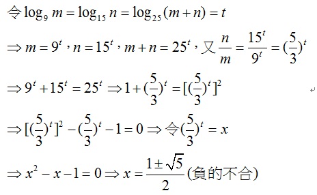
Re: 直角坐標 數列 兩題求解

補充說明
有問題在這裡問就好了
這邊有神人鋼琴大
可以幫你解決問題
資料我只有一些舊的~~~不嫌棄的話再私訊我~~~
dream10
2015年 12月 31日, 22:47
版面: 高中職教甄討論區
主題: 直角坐標 數列 兩題求解
回覆: 7
觀看: 43204

Re: 直角坐標 數列 兩題求解

要準備的東西很多
先買一套徐氏回來墊底基礎
然後算高中數學101
接著開始瘋狂做考古題~~
可以的話有些題目有一題多解可以自己做個筆記
mathpro內的bugman有做題型分類~~可以去下載~~
http://math.pro/db/forum-7-1.html
寸絲大的筆記我沒有做過~~但朋友說很棒~~可以下載來算
剩下的就是通過初試了.....進入試教
dream10
2015年 7月 24日, 21:39
版面: 國小教甄數學科問題交流及討論區
主題: 104 高雄國小
回覆: 9
觀看: 69930

Re: 104 高雄國小

sorry~~第49題我不會了~~ :cry:

麻煩高手處理~~我有點忘記尺規作圖的東西了~~~

其他幾題在下面~~有寫錯的或不清楚的幫忙補充一下~~~謝謝
Doc1.jpg
Doc1.jpg (127.79 KiB) 已瀏覽 69723 次
dream10
2015年 6月 30日, 23:09
版面: 國中教甄討論區
主題: 100 金門縣
回覆: 11
觀看: 54222

Re: 100 金門縣

eric6204 寫:請教33題、
打完了才發現後面好像有詳解
0001.jpg
0001.jpg (38.85 KiB) 已瀏覽 14404 次
dream10
2015年 1月 20日, 21:08
版面: 國小教甄數學科問題交流及討論區
主題: 101 桃園縣國小
回覆: 42
觀看: 166012

Re: 101 桃園縣國小

doris200121 寫:請問第19.30.32.33題和第48題的觀念,謝謝!
19.假設邊長慢慢求其他邊長,進而求面積
30.極限的定義,但x=0代入,都等於0所以要把分子的先分解然後消掉分母,讓他有意義
但這題可以用羅必達比較快
32.感覺是因數的想法,但因為這題數字不大,可以直接列出來畫掉就可以了
33.反曲點,二次微分的觀念
48.極限的定義
dream10
2015年 1月 20日, 20:56
版面: 國小教甄數學科問題交流及討論區
主題: 101 桃園縣國小
回覆: 42
觀看: 166012

Re: 101 桃園縣國小

doris200121 寫:請問第5題的內容過程如何理解,是否有其它理解算式,謝謝?
你先看看這些資料吧
http://www.tngs.tn.edu.tw/teaching/math ... ch/mod.pdf
http://www.mathsgreat.com/prime_101/prime_101_008.pdf
dream10
2015年 1月 20日, 20:39
版面: 國小教甄數學科問題交流及討論區
主題: 101 嘉義市國小
回覆: 26
觀看: 109693

Re: 101 嘉義市國小

你問的問題上面都有吧~~
你可以找找
dream10
2014年 6月 24日, 10:06
版面: 國小教甄數學科問題交流及討論區
主題: 102 中區國小
回覆: 36
觀看: 171990

Re: 102 中區國小

justdou220 寫:請問第4題該怎麼解??謝謝^^
因為交點相同,所以先解x+2y=4與x-3y=-1
解出x=2,y=1代入另外兩條直線即可解出a,b
dream10
2014年 6月 24日, 09:16
版面: 國中教甄討論區
主題: 103 台北市國中
回覆: 41
觀看: 217625

Re: 103 台北市國中

math5566 寫:我想問一下由aulia大大分享的41.42.47題那個附加檔案為什麼都無法開啟啊?
可能你的是舊版吧~~~
幫忙轉成pdf

前往進階搜尋