101 嘉義市國小

版主: thepiano

dream10
文章: 304
註冊時間: 2009年 2月 15日, 00:00

Re: 101 嘉義市國小

文章 dream10 »

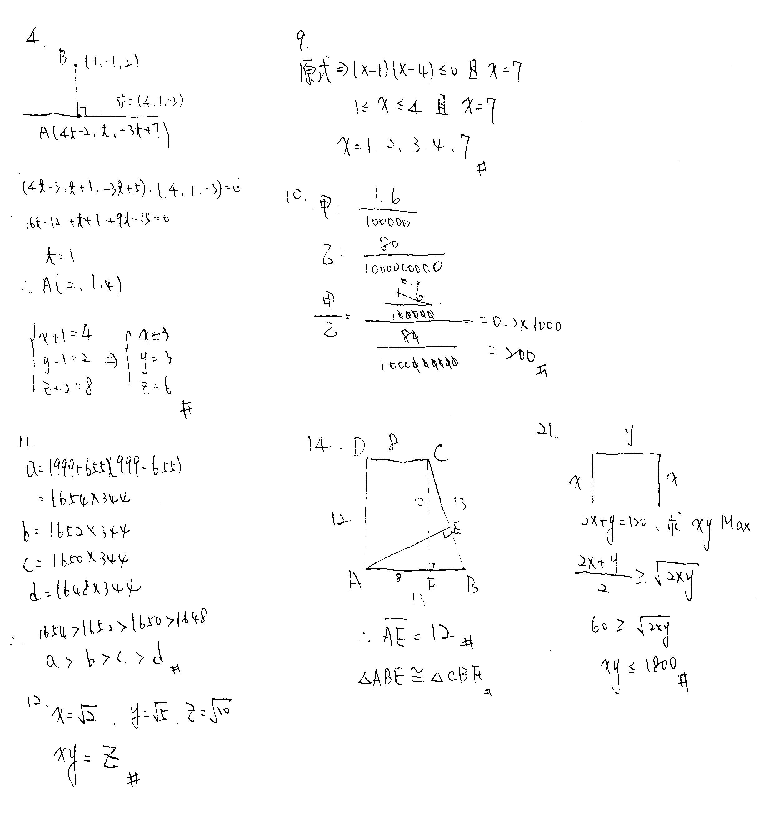
請參考
附加檔案
R116.jpg
R116.jpg (325.68 KiB) 已瀏覽 31820 次

love2005624522
文章: 44
註冊時間: 2011年 7月 16日, 11:57

Re: 101 嘉義市國小

文章 love2005624522 »

謝謝您 dream10 的詳解!
新年快樂! :)

sonya
文章: 23
註冊時間: 2012年 2月 18日, 23:27

Re: 101 嘉義市國小

文章 sonya »

寫這一份考卷真是寫到崩潰!感謝老師的解答,Q20須請老師協助,感謝老師.

dream10
文章: 304
註冊時間: 2009年 2月 15日, 00:00

Re: 101 嘉義市國小

文章 dream10 »

20.
y=0.8x+25
新的平均數=55*0.8+25=69
新的標準差=20*0.8=16

平均數有伸縮與平移
標準差只有伸縮,但是正的(負的要加絕對值)

doris200121
文章: 73
註冊時間: 2013年 7月 16日, 09:03

Re: 101 嘉義市國小

文章 doris200121 »

請問第3.8.9.26題,謝謝!

dream10
文章: 304
註冊時間: 2009年 2月 15日, 00:00

Re: 101 嘉義市國小

文章 dream10 »

你問的問題上面都有吧~~
你可以找找

doris200121
文章: 73
註冊時間: 2013年 7月 16日, 09:03

Re: 101 嘉義市國小

文章 doris200121 »

謝謝告知!

回覆文章

回到「國小教甄數學科問題交流及討論區」