駭客數學指數5題

版主: thepiano

回覆文章
wen1019
文章: 89
註冊時間: 2008年 7月 29日, 19:53

駭客數學指數5題

文章 wen1019 »

請老師幫忙解感
謝謝老師
附加檔案
IMG_7393.JPG
IMG_7393.JPG (56.63 KiB) 已瀏覽 10810 次

頭像
thepiano
文章: 6071
註冊時間: 2008年 7月 29日, 10:12

Re: 駭客數學指數5題

文章 thepiano »

您的字蠻漂亮的 ......

請參考附件
附加檔案
20101103.doc
(36.5 KiB) 已下載 781 次

wen1019
文章: 89
註冊時間: 2008年 7月 29日, 19:53

Re: 駭客數學指數5題

文章 wen1019 »

謝謝老師,
也請老師幫我解惑另外的五題
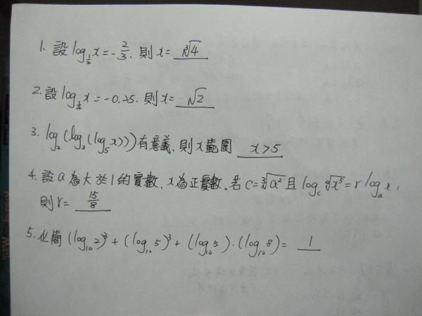
附加檔案
IMG_7397.JPG
IMG_7397.JPG (53.65 KiB) 已瀏覽 10765 次

頭像
thepiano
文章: 6071
註冊時間: 2008年 7月 29日, 10:12

Re: 駭客數學指數5題

文章 thepiano »

第 1 題
a = log5 = 1 - log2
1/log2 = 1/(1 - a)

b = log6/log2 = (log2 + log3)/log2 = 1 + (log3/log2)
log3/log2 = b - 1

所求 = log0.12/log4 = (log12 - 2)/2log2 = (2log2 + log3 - 2)/2log2 = 1 + (1/2)(log3/log2) - 1/log2 = 1 + (1/2)(b - 1) - 1/(1 - a) = (ab + a - b + 1)/(2a - 2)


第 2 題
log(7^20) = 20log7 = 16.902
7^20 是 17 位數

log[7^20/10^16] = 0.902
log7 < log[7^20/10^16] < log8
7 < 7^20/10^16 < 8
7 * 10^16 < 7^20 < 8 * 10^16

故所求 = 7


第 3 題
以下 log 均以 a 為底,0 < a < 1
log(2x + 1) + logx ≧ 0
log(2x^2 + x) ≧ 0
2x^2 + x ≦ 1
-1 ≦ x ≦ 1/2

但由 logx 知 x 必大於 0

故 0 < x ≦ 1/2


第 4 題
以下 log 均以 2 為底
(logx)^2 + logx - 2 ≦ 0
(logx + 2)(logx - 1) ≦ 0
-2 ≦ logx ≦ 1
1/4 ≦ x ≦ 2


第 5 題
令 y = 9^log5 (以 3 為底)
logy (以 3 為底) = log5 * log9 (以 3 為底) = 2log5 (以 3 為底) = log25 (以 3 為底)
y = 25

log1 (以 3 為底) = 0

log8 (以 4 為底) = log2^3 (以 2^2 為底) = 3/2

log7 (以 1/7 為底) = -1

......

回覆文章

回到「國小教甄數學科問題交流及討論區」