駭客數學 複數的運算

版主: thepiano

回覆文章
acdimns
文章: 91
註冊時間: 2013年 8月 21日, 13:40

駭客數學 複數的運算

文章 acdimns »

第1題
IMAG0263_1.jpg
IMAG0263_1.jpg (93.18 KiB) 已瀏覽 11542 次
這是我的做法,然後就算不下去了...
IMAG0267_1.jpg
IMAG0267_1.jpg (106.62 KiB) 已瀏覽 11542 次
第2題
IMAG0265_BURST002_1.jpg
IMAG0265_BURST002_1.jpg (57.65 KiB) 已瀏覽 11542 次
課本答案是B,網路解答是A,我算是A...

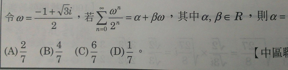
第3題
IMAG0268_BURST002_1.jpg
IMAG0268_BURST002_1.jpg (100.64 KiB) 已瀏覽 11542 次
答案C
我想把W代進去SIGMA,但不知道如何下手...

第4題
IMAG0269_BURST002_1.jpg
IMAG0269_BURST002_1.jpg (73.5 KiB) 已瀏覽 11542 次
答案B
不知道怎麼求這題的根?

第5題
IMAG0270_1.jpg
IMAG0270_1.jpg (106.56 KiB) 已瀏覽 11542 次
複數絕對值平方我算出來是25,三次方就不會算了?

頭像
thepiano
文章: 6071
註冊時間: 2008年 7月 29日, 10:12

Re: 駭客數學 複數的運算

文章 thepiano »

第 1 題
分子和分母同乘以 -1 + 2i

第 2 ~ 5 題
請參考附件
附加檔案
20130903.doc
(30.5 KiB) 已下載 764 次

acdimns
文章: 91
註冊時間: 2013年 8月 21日, 13:40

Re: 駭客數學 複數的運算

文章 acdimns »

謝謝您!

深情一老狗
文章: 2
註冊時間: 2012年 5月 29日, 15:58

Re: 駭客數學 複數的運算

文章 深情一老狗 »

第五題應有更快的方式....
如是取絕對值,可以各自分開做...再相乘除...
高中數學的教學上應有說過...
所以分子是25*2根號二
分母是25*根號二...約分後,答案就是2

回覆文章

回到「國小教甄數學科問題交流及討論區」