駭客數學題庫Ch3 P1,4,5

版主: thepiano

回覆文章
hwm0219
文章: 61
註冊時間: 2013年 11月 29日, 20:25

駭客數學題庫Ch3 P1,4,5

文章 hwm0219 »

請大大們幫我解題好嗎?感激不盡
圖片1.png
圖片1.png (17.4 KiB) 已瀏覽 21537 次
ANS:D
圖片2.png
圖片2.png (32.71 KiB) 已瀏覽 21537 次
ANS:A
圖片3.png
圖片3.png (12.28 KiB) 已瀏覽 21537 次
ANS:C

dream10
文章: 304
註冊時間: 2009年 2月 15日, 00:00

Re: 駭客數學題庫Ch3 P1,4,5

文章 dream10 »

第6題一直算不出答案
可能愛睏了~~=.=
其他參考附件
附加檔案
駭客數學題庫Ch3 P1,4,5ans.doc
(29 KiB) 已下載 1126 次

頭像
thepiano
文章: 6070
註冊時間: 2008年 7月 29日, 10:12

Re: 駭客數學題庫Ch3 P1,4,5

文章 thepiano »

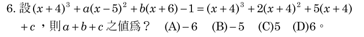
第 6 題
書上的題目應是打錯了,因為不可能等號兩邊都有 (x + 4)^3,然後可以直接消掉

hwm0219
文章: 61
註冊時間: 2013年 11月 29日, 20:25

Re: 駭客數學題庫Ch3 P1,4,5

文章 hwm0219 »

感謝dream10老師
我第6題花好多時間
也一直算不出答案 :?

hwm0219
文章: 61
註冊時間: 2013年 11月 29日, 20:25

Re: 駭客數學題庫Ch3 P1,4,5

文章 hwm0219 »

感謝thepiano老師的解惑
我不用困在這一題了 :grin:

dream10
文章: 304
註冊時間: 2009年 2月 15日, 00:00

Re: 駭客數學題庫Ch3 P1,4,5

文章 dream10 »

6題題目錯了
應該是a(x+5)^2不是a(x-5)^2
乘開比較係數就出來了
a=2,b=1,c=3
如果我沒計算錯誤的話是這樣

PS:也有可能如鋼琴兄說的一樣~~不可能兩邊都(x-4)^3
因為剛開始我也覺得那邊怪怪的~~因為一樣就不要寫就好囉
最後由 dream10 於 2013年 12月 8日, 08:47 編輯,總共編輯了 1 次。

hwm0219
文章: 61
註冊時間: 2013年 11月 29日, 20:25

Re: 駭客數學題庫Ch3 P1,4,5

文章 hwm0219 »

謝謝dream10老師
我再練習算一次 :)

回覆文章

回到「國小教甄數學科問題交流及討論區」