第 1 頁 (共 1 頁)
駭客數學題庫Ch3 P1,4,5
發表於 : 2013年 12月 7日, 22:29
由 hwm0219
請大大們幫我解題好嗎?感激不盡

- 圖片1.png (17.4 KiB) 已瀏覽 20151 次
ANS:D

- 圖片2.png (32.71 KiB) 已瀏覽 20151 次
ANS:A

- 圖片3.png (12.28 KiB) 已瀏覽 20151 次
ANS:C
Re: 駭客數學題庫Ch3 P1,4,5
發表於 : 2013年 12月 8日, 00:52
由 dream10
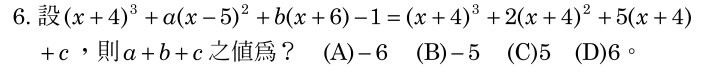
第6題一直算不出答案
可能愛睏了~~=.=
其他參考附件
Re: 駭客數學題庫Ch3 P1,4,5
發表於 : 2013年 12月 8日, 07:55
由 thepiano
第 6 題
書上的題目應是打錯了,因為不可能等號兩邊都有 (x + 4)^3,然後可以直接消掉
Re: 駭客數學題庫Ch3 P1,4,5
發表於 : 2013年 12月 8日, 08:00
由 hwm0219
感謝dream10老師
我第6題花好多時間
也一直算不出答案

Re: 駭客數學題庫Ch3 P1,4,5
發表於 : 2013年 12月 8日, 08:01
由 hwm0219
感謝thepiano老師的解惑
我不用困在這一題了

Re: 駭客數學題庫Ch3 P1,4,5
發表於 : 2013年 12月 8日, 08:03
由 dream10
6題題目錯了
應該是a(x+5)^2不是a(x-5)^2
乘開比較係數就出來了
a=2,b=1,c=3
如果我沒計算錯誤的話是這樣
PS:也有可能如鋼琴兄說的一樣~~不可能兩邊都(x-4)^3
因為剛開始我也覺得那邊怪怪的~~因為一樣就不要寫就好囉
Re: 駭客數學題庫Ch3 P1,4,5
發表於 : 2013年 12月 8日, 08:14
由 hwm0219
謝謝dream10老師
我再練習算一次
