101南區數學
版主: thepiano
-
a_river0622
- 文章: 35
- 註冊時間: 2010年 8月 24日, 11:39
Re: 101南區數學
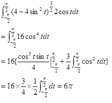
請教大家:
第 43 題 檔案中的第 2 行怎麼變成第 3 行的呢?
另 第 46 題一直都沒有人解出耶,不知有哪位老師能替大家解出呢?
謝謝大家
第 43 題 檔案中的第 2 行怎麼變成第 3 行的呢?
另 第 46 題一直都沒有人解出耶,不知有哪位老師能替大家解出呢?
謝謝大家
- 附加檔案
-
- 第 43 題.jpg (12.93 KiB) 已瀏覽 23511 次