100中區數學

版主: thepiano

頭像
thepiano
文章: 6070
註冊時間: 2008年 7月 29日, 10:12

Re: 100中區數學

文章 thepiano »

第 7 題
易知 P(24,37)
圓心 O(0,5),半徑 5
OP = 40,OQ = 5
直線 OP 斜率為 (37 - 5)/(24 - 0) = 4/3
a = 3
b - 5 = 4,b = 9


第 25 題
選項 (3) 反例
a_n = 1 + (1/n)
b_n = 1 + (2/n)

shufa0801
文章: 47
註冊時間: 2012年 5月 15日, 21:32

Re: 100中區數學

文章 shufa0801 »

thepiano 寫:第 7 題
易知 P(24,37)
圓心 O(0,5),半徑 5
OP = 40,OQ = 5
直線 OP 斜率為 (37 - 5)/(24 - 0) = 4/3
a = 3
b - 5 = 4,b = 9


第 25 題
選項 (3) 反例
a_n = 1 + (1/n)
b_n = 1 + (2/n)

謝謝解答 :grin:

Superconan
文章: 120
註冊時間: 2012年 3月 31日, 00:05

Re: 100中區數學

文章 Superconan »

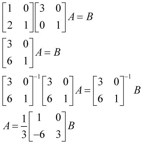
thepiano 寫:第 23 題
請參考附件
官方給的答案錯誤,選項 (2) 中的 6 應改為 2 才對
鋼琴老師
我記得矩陣的運算應該是下圖這樣才對?
100中區#23.png
100中區#23.png (22.14 KiB) 已瀏覽 38193 次
答案應該沒錯?!

頭像
thepiano
文章: 6070
註冊時間: 2008年 7月 29日, 10:12

Re: 100中區數學

文章 thepiano »

Superconan 寫: 我記得矩陣的運算應該是下圖這樣才對?
答案應該沒錯?!
您的答案正確,小弟算錯了
看來應該利用暑假好好讀一下線代 :grin:

Superconan
文章: 120
註冊時間: 2012年 3月 31日, 00:05

Re: 100中區數學

文章 Superconan »

請問第 34,38 題


第 20 題
我用等比級數的公式算出所求=Z , 但是矩陣真的可以這樣用嗎?不是很確定,感覺應該不行@@


第 25 題
請問選項(1)的反例?


另外,我發現Math.Pro也有100中區的部分解答,有需要的人可以參考
http://math.pro/db/thread-1194-1-6.html

someone
文章: 191
註冊時間: 2010年 7月 22日, 10:06

Re: 100中區數學

文章 someone »

Superconan 寫:請問第 34,38 題


第 20 題
我用等比級數的公式算出所求=Z , 但是矩陣真的可以這樣用嗎?不是很確定,感覺應該不行@@


第 25 題
請問選項(1)的反例?


另外,我發現Math.Pro也有100中區的部分解答,有需要的人可以參考
http://math.pro/db/thread-1194-1-6.html
20. 我是這樣做的 z+z^2=-I Z^3=I 所以z+z^2+z^3=0 原式就等於=z^100=z
25.反例啊 大家都是0 怎麼加都是0
34.展開前面的sin(x+pi/4) 再合併一下 變成sqrt(2)sinx+2sqrt(2)cosx最大值就會是 sqrt(2+8)=sqrt(10)
38.假設十位數字為a,個位數字為b
原本10a+b=n(a+b) 交換後10b+a
但10b+a+10a+b=11(a+b) 故10b+a=(11-n)(10b+a)

abc17945
文章: 14
註冊時間: 2012年 3月 20日, 09:44

Re: 100中區數學

文章 abc17945 »

老師您好,
請問31.第1選項為何正確?
請問40,第2選項,用Ratio如何算出1?正確解應如何算出發散
謝謝~~

頭像
thepiano
文章: 6070
註冊時間: 2008年 7月 29日, 10:12

Re: 100中區數學

文章 thepiano »

第 31 題
第 (1) 個選項的證明
http://www.mathland.idv.tw/talk-over/me ... &bname=ASP


第 40 題
第 (2) 個選項
可用比較試驗法
n!/(2n! + 1) = 1/(2 + 1/n!)
n ≧ 3
1/n ≦ 1/(2 + 1/n!)
由於 Σ(1/n) 發散,故 Σ[n!/(2n! + 1)] 亦發散

abc17945
文章: 14
註冊時間: 2012年 3月 20日, 09:44

Re: 100中區數學

文章 abc17945 »

thepiano 寫:第 31 題
第 (1) 個選項的證明
http://www.mathland.idv.tw/talk-over/me ... &bname=ASP


第 40 題
第 (2) 個選項
可用比較試驗法
n!/(2n! + 1) = 1/(2 + 1/n!)
n ≧ 3
1/n ≦ 1/(2 + 1/n!)
由於 Σ(1/n) 發散,故 Σ[n!/(2n! + 1)] 亦發散
謝謝老師,31題我懂了,40題(2選項)的方法好技巧,看到階乘很少會想到用比較試驗法,厲害!

abc17945
文章: 14
註冊時間: 2012年 3月 20日, 09:44

Re: 100中區數學

文章 abc17945 »

thepiano 寫:第 31 題
第 (1) 個選項的證明
http://www.mathland.idv.tw/talk-over/me ... &bname=ASP


第 40 題
第 (2) 個選項
可用比較試驗法
n!/(2n! + 1) = 1/(2 + 1/n!)
n ≧ 3
1/n ≦ 1/(2 + 1/n!)
由於 Σ(1/n) 發散,故 Σ[n!/(2n! + 1)] 亦發散
老師,40題(2選項),你的方法給了我另外的靈感,可不可以說
原式=n!/(2n! + 1) = 1/(2 + 1/n!),取極限得到1/2 (因為不等於0),所以說此數列式發散 (by發散試驗法)

回覆文章

回到「國中教甄討論區」