各位老師您好,
想請教幾題澳洲AMC和奧林匹克的題目,
感謝您的指導。
第1題答案103,
第2題答案64,
第3題答案54,
第4題答案3,
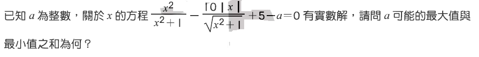
第5題答案3086,
第6題答案300,
第7題答案2,
第8題答案9,
第9題答案24
第10題答案120。
請教幾題澳洲AMC和奧林匹克的題目
版主: thepiano
請教幾題澳洲AMC和奧林匹克的題目
- 附加檔案
-
- 10.png (35.24 KiB) 已瀏覽 38620 次
-
- 1.png (53.04 KiB) 已瀏覽 38879 次
-
- 2.png (62.04 KiB) 已瀏覽 38879 次
-
- 3.png (94.94 KiB) 已瀏覽 38879 次
-
- 4.png (38.34 KiB) 已瀏覽 38879 次
-
- 5.png (44.72 KiB) 已瀏覽 38879 次
-
- 6.png (21.73 KiB) 已瀏覽 38879 次
-
- 7.png (15.8 KiB) 已瀏覽 38879 次
-
- 8.png (29.21 KiB) 已瀏覽 38879 次
-
- 9.png (8.35 KiB) 已瀏覽 38879 次
最後由 han 於 2023年 11月 4日, 19:35 編輯,總共編輯了 2 次。
Re: 請教幾題澳洲AMC和奧林匹克的題目
第 2 題
最下面那列,由左而右分別是 A_1(阿里)、A_2、A_3、...、A_8
最上面那列,由左而右分別是 B_1、B_2、B_3、...、B_8(小柏)
由 A_1 走 6 個點到 A_2,有 1 種走法
由 A_1 走 6 個點到 B_2,也有 1 種走法
由 A_1 走 9 個點到 B_3,有 1 + 1 種走法
由 A_1 走 9 個點到 A_3,也有 1 + 1 種走法
由 A_1 走 12 個點到 B_4,有 2 + 2 種走法
由 A_1 走 12 個點到 A_4,也有 2 + 2 種走法
故由 A_1 走 24 個點到 B_8,有 2^6 種走法
第 3 題
這題有問題,可畫出無限多種情形
第 4 題
作 DF 垂直 AB 於 F,作 AG 垂直 BC 於 G
令 AB = x,DE = √3x - 3√3
BD = √3,DF = √3/2,BF = 3/2,AF = x - 3/2
AG = x/2,EC = 2√3,GC = (√3/2)x,GE = (√3/2)x - 2√3
△AFD 和 △AGE 相似
(x - 3/2)/(√3/2) = (x/2)/[(√3/2)x - 2√3]
可解出 x,進而求出 DE
第 5 題
令 N = 100x + y,其中 x 和 y 都是兩位數
由除法直式計算易知
N 除以 x 的商是介於 100 ~ 109 之間的整數
(100x + y)/x = 100 + y/x,其中 y 是 x 的倍數
考慮 101 ~ 109 的合數,僅有以下情形
102 = 3 * 34,y = 34,x = 17,N = 1734
104 = 2 * 52,y = 52,x = 13,N = 1352
第 6 題
選 2 個方格塗色,有 C(49,2) = 1176 種情形
除了中心格外,其餘 48 格都能以中心格為對稱格,找到其對應的格子
有 48/2 = 24 種選法,它們在旋轉後,每 2 種是同一種情形
其餘 1176 - 24 = 1152 種,它們在旋轉後,每 4 種是同一種情形
所求 = 24/2 + 1152/4
第 7 題
(1) x ≧ 0
x^2/(x^2 + 1) - 10x/√(x^2 + 1) = a - 5
[x/√(x^2 + 1) - 5)^2 = a + 20
0 ≦ x/√(x^2 + 1) = √[x^2/(x^2 + 1)] < 1
-4 < a ≦ 5
(2) x < 0
x^2/(x^2 + 1) + 10x/√(x^2 + 1) = a - 5
[x/√(x^2 + 1) + 5)^2 = a + 20
-1 < x/√(x^2 + 1) = -√[x^2/(x^2 + 1)] < 0
-4 < a < 5
故 a 的最大整數值 5,最小整數值 -3
第 8 題
ABCD 是等腰梯形
△OBC 是正三角形,BF = OF,CF 垂直 BO
△OFD 是直角三角形,E 是斜邊 CD 中點
......
第 9 題
1/y = 2 - 1/x
16/x^2 + 9/y^2 = 16/x^2 + 9(2 - 1/x)^2
= 25/x^2 - 36/x + 36
= (5/x - 18/5)^2 + 576/25
......
用柯西不等式會比較快
最下面那列,由左而右分別是 A_1(阿里)、A_2、A_3、...、A_8
最上面那列,由左而右分別是 B_1、B_2、B_3、...、B_8(小柏)
由 A_1 走 6 個點到 A_2,有 1 種走法
由 A_1 走 6 個點到 B_2,也有 1 種走法
由 A_1 走 9 個點到 B_3,有 1 + 1 種走法
由 A_1 走 9 個點到 A_3,也有 1 + 1 種走法
由 A_1 走 12 個點到 B_4,有 2 + 2 種走法
由 A_1 走 12 個點到 A_4,也有 2 + 2 種走法
故由 A_1 走 24 個點到 B_8,有 2^6 種走法
第 3 題
這題有問題,可畫出無限多種情形
第 4 題
作 DF 垂直 AB 於 F,作 AG 垂直 BC 於 G
令 AB = x,DE = √3x - 3√3
BD = √3,DF = √3/2,BF = 3/2,AF = x - 3/2
AG = x/2,EC = 2√3,GC = (√3/2)x,GE = (√3/2)x - 2√3
△AFD 和 △AGE 相似
(x - 3/2)/(√3/2) = (x/2)/[(√3/2)x - 2√3]
可解出 x,進而求出 DE
第 5 題
令 N = 100x + y,其中 x 和 y 都是兩位數
由除法直式計算易知
N 除以 x 的商是介於 100 ~ 109 之間的整數
(100x + y)/x = 100 + y/x,其中 y 是 x 的倍數
考慮 101 ~ 109 的合數,僅有以下情形
102 = 3 * 34,y = 34,x = 17,N = 1734
104 = 2 * 52,y = 52,x = 13,N = 1352
第 6 題
選 2 個方格塗色,有 C(49,2) = 1176 種情形
除了中心格外,其餘 48 格都能以中心格為對稱格,找到其對應的格子
有 48/2 = 24 種選法,它們在旋轉後,每 2 種是同一種情形
其餘 1176 - 24 = 1152 種,它們在旋轉後,每 4 種是同一種情形
所求 = 24/2 + 1152/4
第 7 題
(1) x ≧ 0
x^2/(x^2 + 1) - 10x/√(x^2 + 1) = a - 5
[x/√(x^2 + 1) - 5)^2 = a + 20
0 ≦ x/√(x^2 + 1) = √[x^2/(x^2 + 1)] < 1
-4 < a ≦ 5
(2) x < 0
x^2/(x^2 + 1) + 10x/√(x^2 + 1) = a - 5
[x/√(x^2 + 1) + 5)^2 = a + 20
-1 < x/√(x^2 + 1) = -√[x^2/(x^2 + 1)] < 0
-4 < a < 5
故 a 的最大整數值 5,最小整數值 -3
第 8 題
ABCD 是等腰梯形
△OBC 是正三角形,BF = OF,CF 垂直 BO
△OFD 是直角三角形,E 是斜邊 CD 中點
......
第 9 題
1/y = 2 - 1/x
16/x^2 + 9/y^2 = 16/x^2 + 9(2 - 1/x)^2
= 25/x^2 - 36/x + 36
= (5/x - 18/5)^2 + 576/25
......
用柯西不等式會比較快
Re: 請教幾題澳洲AMC和奧林匹克的題目
謝謝thepiano老師的解題方向,
其中有兩個地方還需請老師再說明。
第6題:
所求 = 24/2 + 1152/4,其中24/2這部分我不太理解。
第9題:
配方後,如何選取x,得到最小值?
用柯西不等式的部分,要怎麼湊出來,
謝謝老師的指導。
其中有兩個地方還需請老師再說明。
第6題:
所求 = 24/2 + 1152/4,其中24/2這部分我不太理解。
第9題:
配方後,如何選取x,得到最小值?
用柯西不等式的部分,要怎麼湊出來,
謝謝老師的指導。
Re: 請教幾題澳洲AMC和奧林匹克的題目
第 6 題
那 24 種選法,它們在旋轉後,每 2 種是同一種情形,所以要除以 2
第 9 題
讓 (5/x - 18/5)^2 + 576/25 = 24,解 x
柯西
1/x + 1/y = 2
(16/x^2 + 9/y^2)(1/16 + 1/9) >= (1/x + 1/y)^2
……
那 24 種選法,它們在旋轉後,每 2 種是同一種情形,所以要除以 2
第 9 題
讓 (5/x - 18/5)^2 + 576/25 = 24,解 x
柯西
1/x + 1/y = 2
(16/x^2 + 9/y^2)(1/16 + 1/9) >= (1/x + 1/y)^2
……
Re: 請教幾題澳洲AMC和奧林匹克的題目
老師您好,
想再請教第一篇文章中,編號10的圖檔問題(新增),
(因同為競賽型題目,沒有新增一篇文章,不知道這樣的提問方式會造成困擾嗎?
這個平台很棒,若有不適合的地方,我會改善,謝謝。)
想再請教第一篇文章中,編號10的圖檔問題(新增),
(因同為競賽型題目,沒有新增一篇文章,不知道這樣的提問方式會造成困擾嗎?
這個平台很棒,若有不適合的地方,我會改善,謝謝。)
Re: 請教幾題澳洲AMC和奧林匹克的題目
第 10 題
延長 a 和 c 那兩段,讓它們和正方形的邊相交
再以 b 為邊長作一小正方形
因為 a = b + c
正方形 ABCD 被分割成一個邊長 b 的小正方形和四個兩股長分別是 b + c 和 c 的直角三角形
a + b + c + 2d = 64
b + c + b + c + 2d = 64
b + c + d = 32
(b + c)^2 + c^2 = d^2
(32 - d)^2 + c^2 = d^2
d = c^2/64 + 16
由於 c、d 都是正整數,且 c + d < 32
故僅 c = 8,d = 17,b = 7
所求 = (b + c)c
第 1 題
這種題目有老花的我,通常會跳過
走捷徑,那直行那 18 段都是一直往下,不用考慮
考慮橫列那 19 段,每個橫列都是往左或往右走磚塊長的一半
第 1、2、18、19 都是往右不用考慮
只要考慮 3 ~ 17 這 15 列
由於走捷徑,這 15 列的走法一定有 2 列往左,13 列往右
所求 = C(15,2) - 2
扣掉的兩種,一種是第 3、4 列都往左,另一種是第 3 ~ 15 列都往右
延長 a 和 c 那兩段,讓它們和正方形的邊相交
再以 b 為邊長作一小正方形
因為 a = b + c
正方形 ABCD 被分割成一個邊長 b 的小正方形和四個兩股長分別是 b + c 和 c 的直角三角形
a + b + c + 2d = 64
b + c + b + c + 2d = 64
b + c + d = 32
(b + c)^2 + c^2 = d^2
(32 - d)^2 + c^2 = d^2
d = c^2/64 + 16
由於 c、d 都是正整數,且 c + d < 32
故僅 c = 8,d = 17,b = 7
所求 = (b + c)c
第 1 題
這種題目有老花的我,通常會跳過
走捷徑,那直行那 18 段都是一直往下,不用考慮
考慮橫列那 19 段,每個橫列都是往左或往右走磚塊長的一半
第 1、2、18、19 都是往右不用考慮
只要考慮 3 ~ 17 這 15 列
由於走捷徑,這 15 列的走法一定有 2 列往左,13 列往右
所求 = C(15,2) - 2
扣掉的兩種,一種是第 3、4 列都往左,另一種是第 3 ~ 15 列都往右