105 中科實中_國中

版主: thepiano

回覆文章
頭像
thepiano
文章: 6070
註冊時間: 2008年 7月 29日, 10:12

105 中科實中_國中

文章 thepiano »

請參考附件
附加檔案
105 中科實中_國中.pdf
(114.84 KiB) 已下載 1769 次

Yeats
文章: 12
註冊時間: 2017年 11月 3日, 14:14

Re: 105 中科實中_國中

文章 Yeats »

請問第七題如何解,
題目中的遇P點轉彎,那路線是否排除(因為不是捷徑),這樣想法對嗎,謝謝

頭像
thepiano
文章: 6070
註冊時間: 2008年 7月 29日, 10:12

Re: 105 中科實中_國中

文章 thepiano »

第 7 題
全部的捷徑走法有 210 種
過 P 但沒轉彎的走法有 55 種
所求 = 210 - 55 = 155 種

Yeats
文章: 12
註冊時間: 2017年 11月 3日, 14:14

Re: 105 中科實中_國中

文章 Yeats »

thepiano 寫:
2017年 11月 12日, 13:03
第 7 題
全部的捷徑走法有 210 種
過 P 但沒轉彎的走法有 55 種
所求 = 210 - 55 = 155 種
謝謝老師麻煩了

q1214951
文章: 8
註冊時間: 2018年 5月 24日, 20:39

Re: 105 中科實中_國中

文章 q1214951 »

想請教老師第10如何解,謝謝老師!

頭像
thepiano
文章: 6070
註冊時間: 2008年 7月 29日, 10:12

Re: 105 中科實中_國中

文章 thepiano »

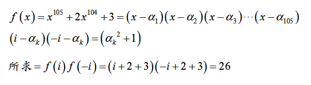
第 10 題
附加檔案
20160522_2.jpg
20160522_2.jpg (47.02 KiB) 已瀏覽 41254 次

q1214951
文章: 8
註冊時間: 2018年 5月 24日, 20:39

Re: 105 中科實中_國中

文章 q1214951 »

謝謝 thepiano 老師!

回覆文章

回到「國中教甄討論區」