103北一女計算題

版主: thepiano

linteacher
文章: 4
註冊時間: 2012年 5月 6日, 22:43

Re: 103北一女計算題

文章 linteacher »

長方體這一題以C為坐標原點,
CD為X軸,CB為Y軸,CG為Z軸,
將QR與PS延長之後,與三個坐標軸共交於三點,
由這新的三個點來重新考慮,
用大四面體減去三個小四面體,會不會好算一些?
8-)

頭像
thepiano
文章: 6070
註冊時間: 2008年 7月 29日, 10:12

Re: 103北一女計算題

文章 thepiano »

高手 bugmens 兄已用 SketchUp 畫出,請參考
http://math.pro/db/viewthread.php?tid=1 ... thorid=210

idontnow90
文章: 33
註冊時間: 2009年 6月 11日, 09:49

Re: 103北一女計算題

文章 idontnow90 »

想請教一下為什麼
第二題第一小題。想成環狀著色。
用a_5*a_6只要再除6就好了??
這樣怎麼保證1,5,10異色??
a_5*a_6算的時候,不能保證是否兩者的5號是否同色??

頭像
thepiano
文章: 6070
註冊時間: 2008年 7月 29日, 10:12

Re: 103北一女計算題

文章 thepiano »

小弟來解釋除以 6 的目的

a_5 有 30 種情形
<1>231<2> 是其中一種

a_6 有 66 種情形
<1>◇○◎◆<2> 是其中的 11 種,其中 ◇ 不為 1,◆ 不為 2
<1>◇○◎◆<3> 是其中的 11 種
<2>◇○◎◆<1> 是其中的 11 種
<2>◇○◎◆<3> 是其中的 11 種
<3>◇○◎◆<1> 是其中的 11 種
<3>◇○◎◆<2> 是其中的 11 種

以上這 6 大類中,只有 <2>◇○◎◆<3> 這大類符合題意,故 30 * 66 / 6 = 330

idontnow90
文章: 33
註冊時間: 2009年 6月 11日, 09:49

Re: 103北一女計算題

文章 idontnow90 »

謝謝,看懂了:)

LATEX
文章: 417
註冊時間: 2013年 7月 21日, 23:35

[代數]謝謝 thepiano 老師

文章 LATEX »

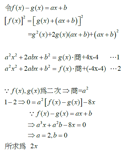
1.請問這個解法,是否可以求出 f(x)=? g(x)=?
2. 如果題目改求 f(x)+g(x) ? 如同解答(1), 一開始要怎樣假設?
附加檔案
88.GIF
88.GIF (14.21 KiB) 已瀏覽 27465 次
最後由 LATEX 於 2015年 3月 17日, 12:55 編輯,總共編輯了 1 次。

頭像
thepiano
文章: 6070
註冊時間: 2008年 7月 29日, 10:12

Re: 103北一女計算題

文章 thepiano »

1. 不能
2. 不可能這樣考,因為求不出來

回覆文章

回到「高中職教甄討論區」