[99東山高中]謝謝 thepiano 老師

版主: thepiano

回覆文章
LATEX
文章: 417
註冊時間: 2013年 7月 21日, 23:35

[99東山高中]謝謝 thepiano 老師

文章 LATEX »

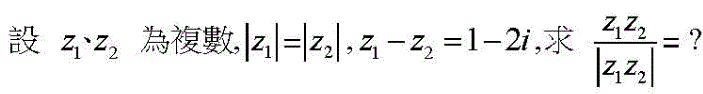
請問一題複數的問題
附加檔案
擷取.GIF
擷取.GIF (6.24 KiB) 已瀏覽 7086 次
最後由 LATEX 於 2015年 3月 15日, 16:37 編輯,總共編輯了 1 次。

頭像
thepiano
文章: 6071
註冊時間: 2008年 7月 29日, 10:12

Re: [複數]

文章 thepiano »

99 東山高中考過,參考 weiye 老師的解法
http://math.pro/db/viewthread.php?tid=9 ... =1#pid2114

回覆文章

回到「高中職教甄討論區」