請問

版主: thepiano

回覆文章
jamesbondmartin
文章: 98
註冊時間: 2011年 4月 28日, 20:20

請問

文章 jamesbondmartin »

老師您好, 請問
如果 圖檔
謝謝老師

頭像
thepiano
文章: 6070
註冊時間: 2008年 7月 29日, 10:12

Re: 請問

文章 thepiano »

α、β、γ 為 x^3 - 7x - 6 = 0 之三根

jamesbondmartin
文章: 98
註冊時間: 2011年 4月 28日, 20:20

Re: 請問

文章 jamesbondmartin »

謝謝老師

jamesbondmartin
文章: 98
註冊時間: 2011年 4月 28日, 20:20

Re: 請問

文章 jamesbondmartin »

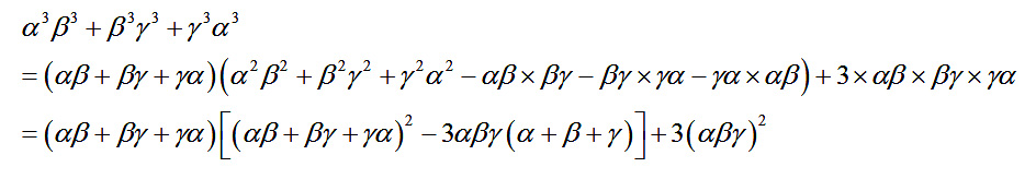
老師, 不好意思, 我想問的問題是:
圖檔
(以上三式或者以上三式的衍生式)
謝謝老師

頭像
thepiano
文章: 6070
註冊時間: 2008年 7月 29日, 10:12

Re: 請問

文章 thepiano »

上面那個方程解出來,代進去就好了,不用那麼累
附加檔案
20161015_2.jpg
20161015_2.jpg (66.71 KiB) 已瀏覽 23665 次

jamesbondmartin
文章: 98
註冊時間: 2011年 4月 28日, 20:20

Re: 請問

文章 jamesbondmartin »

謝謝老師 8-)

回覆文章

回到「高中職教甄討論區」