[代數][謝謝老師]

版主: thepiano

回覆文章
LATEX
文章: 417
註冊時間: 2013年 7月 21日, 23:35

[代數][謝謝老師]

文章 LATEX »

請問函數問題
11.GIF
11.GIF (8.34 KiB) 已瀏覽 9090 次
最後由 LATEX 於 2017年 12月 17日, 20:25 編輯,總共編輯了 1 次。

頭像
thepiano
文章: 6071
註冊時間: 2008年 7月 29日, 10:12

Re: [代數]

文章 thepiano »

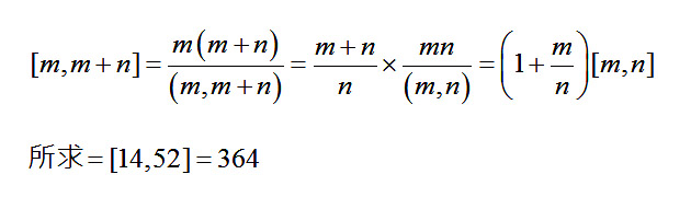
最小公倍數
附加檔案
20171217.jpg
20171217.jpg (40.57 KiB) 已瀏覽 9082 次

回覆文章

回到「高中職教甄討論區」