請教一題不等式

版主: thepiano

回覆文章
cauchyslin
文章: 78
註冊時間: 2010年 5月 17日, 23:37

請教一題不等式

文章 cauchyslin »

請教各位這題應該怎麼證

感恩~
附加檔案
不等式.doc
(17.5 KiB) 已下載 1107 次

頭像
thepiano
文章: 6070
註冊時間: 2008年 7月 29日, 10:12

Re: 請教一題不等式

文章 thepiano »

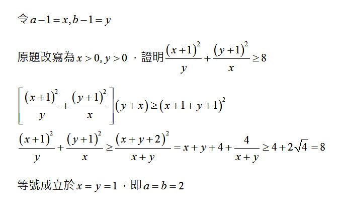
請參考
附加檔案
20171229.jpg
20171229.jpg (76.33 KiB) 已瀏覽 18004 次

cauchyslin
文章: 78
註冊時間: 2010年 5月 17日, 23:37

Re: 請教一題不等式

文章 cauchyslin »

謝謝鋼琴兄~

回覆文章

回到「高中職教甄討論區」