對數[謝謝老師]

版主: thepiano

回覆文章
LATEX
文章: 417
註冊時間: 2013年 7月 21日, 23:35

對數[謝謝老師]

文章 LATEX »

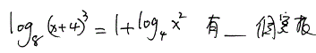
777.GIF
777.GIF (2.7 KiB) 已瀏覽 20302 次
最後由 LATEX 於 2018年 12月 17日, 23:07 編輯,總共編輯了 1 次。

頭像
thepiano
文章: 6071
註冊時間: 2008年 7月 29日, 10:12

Re: 對數

文章 thepiano »

4 和 -4/3 這 2 個實根

LATEX
文章: 417
註冊時間: 2013年 7月 21日, 23:35

Re: 對數

文章 LATEX »

777.jpg
777.jpg (130.44 KiB) 已瀏覽 20288 次

頭像
thepiano
文章: 6071
註冊時間: 2008年 7月 29日, 10:12

Re: 對數

文章 thepiano »

第二式右邊
1 + log(±x) (以 2 為底)

回覆文章

回到「高中職教甄討論區」