[107竹女][謝謝老師]

版主: thepiano

回覆文章
LATEX
文章: 417
註冊時間: 2013年 7月 21日, 23:35

[107竹女][謝謝老師]

文章 LATEX »

3875320a5af6cf51.jpg
3875320a5af6cf51.jpg (10.42 KiB) 已瀏覽 18549 次
最後由 LATEX 於 2019年 1月 1日, 20:40 編輯,總共編輯了 2 次。

頭像
thepiano
文章: 6071
註冊時間: 2008年 7月 29日, 10:12

Re: [向量]

文章 thepiano »

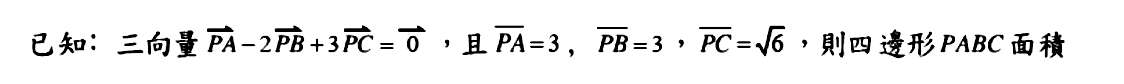
向量 PA + 3向量 PC = 2向量 PB

畫一平行四邊形 APC'B'
在 PC' 上取一點 C,使得 PC = (1/3)PC'
則 AC' 和 PB' 之交點為 B

先算出 △PB'C' 之面積
所求 PABC = (2/3)△PB'C'

回覆文章

回到「高中職教甄討論區」