[代數]謝謝老師

版主: thepiano

回覆文章
LATEX
文章: 417
註冊時間: 2013年 7月 21日, 23:35

[代數]謝謝老師

文章 LATEX »

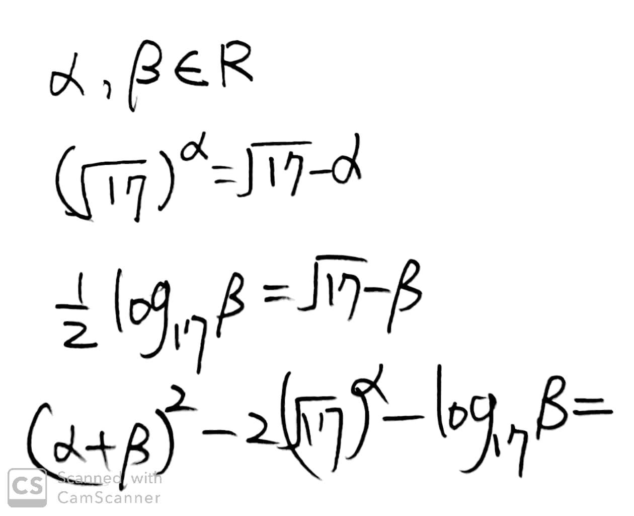
請問
新建檔案 2019-10-01 21.11.02.jpg
新建檔案 2019-10-01 21.11.02.jpg (42.72 KiB) 已瀏覽 15211 次
最後由 LATEX 於 2019年 10月 4日, 21:14 編輯,總共編輯了 1 次。

頭像
thepiano
文章: 6071
註冊時間: 2008年 7月 29日, 10:12

Re: [代數]

文章 thepiano »

題目應該出錯了,有給答案嗎?

LATEX
文章: 417
註冊時間: 2013年 7月 21日, 23:35

Re: [代數]謝謝老師

文章 LATEX »

沒有,出自於108 師大推甄筆試二

回覆文章

回到「高中職教甄討論區」