108 中科實中

版主: thepiano

回覆文章
頭像
thepiano
文章: 6070
註冊時間: 2008年 7月 29日, 10:12

108 中科實中

文章 thepiano »

雙語部,請參考附件
附加檔案
108 中科實中.pdf
(158.62 KiB) 已下載 1300 次
108 中科實中_答案.pdf
(66.88 KiB) 已下載 1283 次

huanghs
文章: 72
註冊時間: 2018年 5月 9日, 14:40

Re: 108 中科實中

文章 huanghs »

想請問填充10、填充16要怎麼做比較好呢? 感謝~~

頭像
thepiano
文章: 6070
註冊時間: 2008年 7月 29日, 10:12

Re: 108 中科實中

文章 thepiano »

第 10 & 16 題
請參考附件
附加檔案
20190505.docx
(37.75 KiB) 已下載 1166 次

huanghs
文章: 72
註冊時間: 2018年 5月 9日, 14:40

Re: 108 中科實中

文章 huanghs »

想再問問填充14題要怎麼做呢? 我試著用費氏數列去做,但數字好大啊

頭像
thepiano
文章: 6070
註冊時間: 2008年 7月 29日, 10:12

Re: 108 中科實中

文章 thepiano »

第 14 題
看餘數就好
(1,2,3,5,1,6,0,6,6,5,4,2,6,1,0,1),1,2,......
16 個一循環

addcinabo
文章: 11
註冊時間: 2010年 6月 21日, 21:15

Re: 108 中科實中

文章 addcinabo »

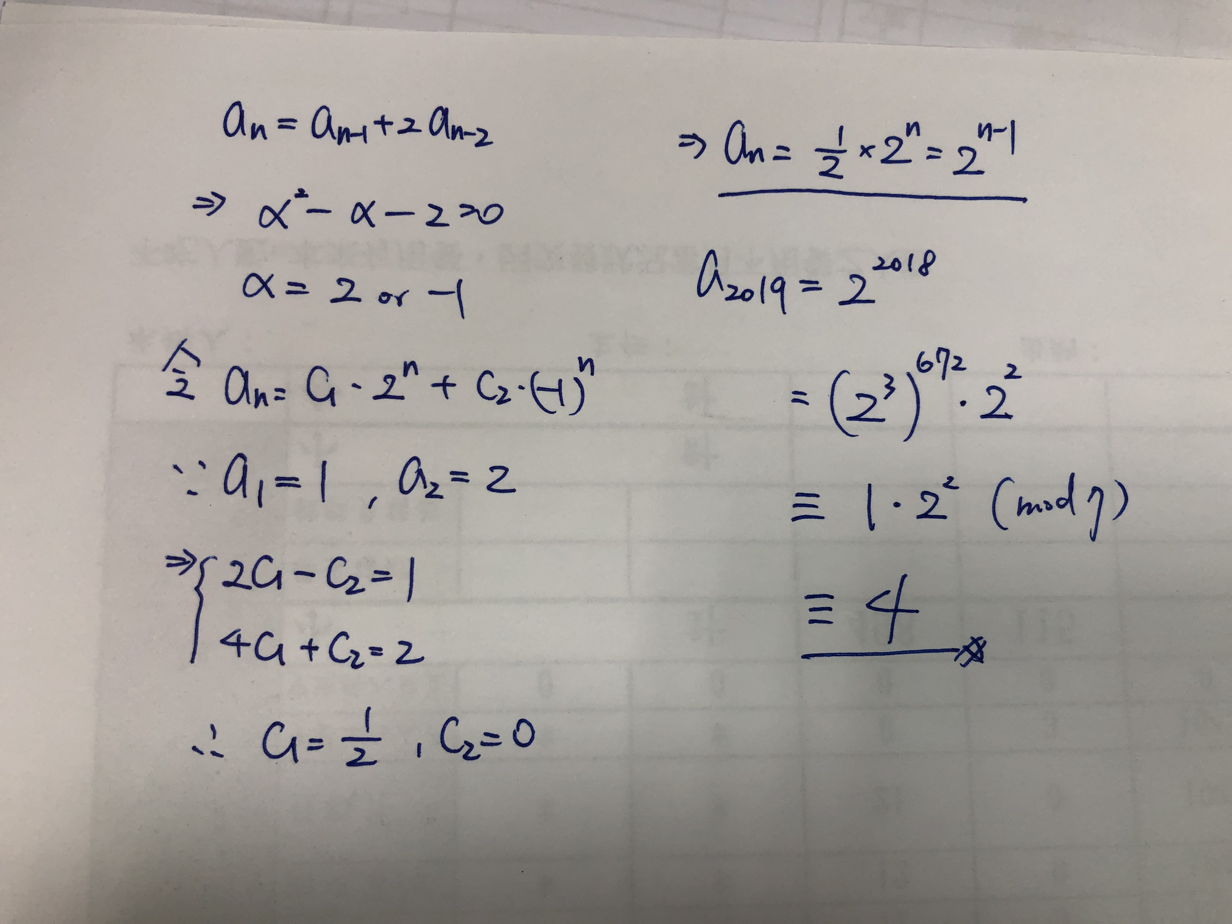
請問鋼琴大大~
為何我用特徵方程式的寫法算出來是錯的?
感謝先^_^

另外~請問計算二如何算呢?感謝老師
附加檔案
05CD7DA3-7D34-434E-B030-C260B820453D.jpeg
05CD7DA3-7D34-434E-B030-C260B820453D.jpeg (1.87 MiB) 已瀏覽 31253 次

頭像
thepiano
文章: 6070
註冊時間: 2008年 7月 29日, 10:12

Re: 108 中科實中

文章 thepiano »

應是 a_n = a_(n-1) + a_(n-2) 才對


計算第 2 題
(1)
[√(40 - x) + √x + √(13 - x)]^2 ≦ (1 + 1/3 + 1/2)[(40 - x) + 3x + 2(13 - x)] = 121
√(40 - x) + √x + √(13 - x) ≦ 11
等號成立於 40 - x = 9x = 4(13 - x),即 x = 4 時

(2) 最小值出現在端點,x 代 0 或 13 檢驗

addcinabo
文章: 11
註冊時間: 2010年 6月 21日, 21:15

Re: 108 中科實中

文章 addcinabo »

感謝老師~
我知道錯在哪了^_^

回覆文章

回到「高中職教甄討論區」