109新北市高中聯招

版主: thepiano

回覆文章
ksjeng0723
文章: 8
註冊時間: 2020年 5月 21日, 17:27

109新北市高中聯招

文章 ksjeng0723 »

109新北高中職聯招數學科
附加檔案
新北市高中職聯招109數學題本(浮水印).pdf
(259.32 KiB) 已下載 1312 次
新北市高中職聯招109數學答案(浮水印).pdf
(67.14 KiB) 已下載 1199 次

頭像
thepiano
文章: 6070
註冊時間: 2008年 7月 29日, 10:12

Re: 109新北市高中聯招

文章 thepiano »

計算題參考答案

(1) 260

(2) (a) 5√2 (b) (100/21,-100/21,50/21)

頭像
thepiano
文章: 6070
註冊時間: 2008年 7月 29日, 10:12

Re: 109新北市高中聯招

文章 thepiano »

這個出題教授抄能力競賽的題目抄很大 ......

three0124
文章: 16
註冊時間: 2020年 6月 23日, 08:31

Re: 109新北市高中聯招

文章 three0124 »

請問老師
我哪個地方錯了呢
怎麼算填充題第9題就是差一個負號
答案是1/6
謝謝你
https://imgur.com/B2SSVCW

頭像
thepiano
文章: 6070
註冊時間: 2008年 7月 29日, 10:12

Re: 109新北市高中聯招

文章 thepiano »

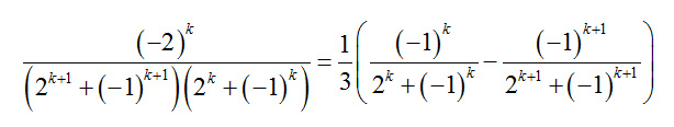
像 bugmens 那樣拆的話,要注意最後一列的前面是 1
故答案是 (1/3)(-1/2 + 1) = 1/6

一般是像下面這樣拆
附加檔案
20200623.jpg
20200623.jpg (37.07 KiB) 已瀏覽 27831 次

three0124
文章: 16
註冊時間: 2020年 6月 23日, 08:31

Re: 109新北市高中聯招

文章 three0124 »

我了解了
我沒注意到最後一項
謝謝鋼琴老師

另外想請問老師
為什麼說
通常會選(-1)當分子
選(2)當分子比較少見嗎
遇到不同的題目
要選擇哪一個當分子會比較好呢
謝謝老師

頭像
thepiano
文章: 6070
註冊時間: 2008年 7月 29日, 10:12

Re: 109新北市高中聯招

文章 thepiano »

選什麼當分子,沒有一定,只要能消掉就好

bugmens 的"裂項相消"資料看一看,這種類型的題目就 KO 了

ksjeng0723
文章: 8
註冊時間: 2020年 5月 21日, 17:27

Re: 109新北市高中聯招

文章 ksjeng0723 »

試題疑義,詳見附檔
附加檔案
新北市109學年度教師聯合甄選初試試題疑義答覆0623(公告版).pdf
(637.53 KiB) 已下載 1175 次

回覆文章

回到「高中職教甄討論區」