請問一題不等式

版主: thepiano

回覆文章
LATEX
文章: 417
註冊時間: 2013年 7月 21日, 23:35

請問一題不等式

文章 LATEX »

請問一題不等式
附加檔案
不等式.GIF
不等式.GIF (3.25 KiB) 已瀏覽 8368 次

頭像
thepiano
文章: 6071
註冊時間: 2008年 7月 29日, 10:12

Re: 請問一題不等式

文章 thepiano »

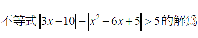
|3x - 10| - |(x - 1)(x - 5)| > 5

分段把絕對值拿掉
(1) x ≧ 5
(2) 10/3 ≦ x < 5
(3) 1 ≦ x < 10/3
(4) x < 1

答案是 0 < x < (9 - √41)/2

LATEX
文章: 417
註冊時間: 2013年 7月 21日, 23:35

Re: 請問一題不等式

文章 LATEX »

謝謝老師!

回覆文章

回到「高中職教甄討論區」