102新化高中

版主: thepiano

LATEX
文章: 417
註冊時間: 2013年 7月 21日, 23:35

請問多項式的問題

文章 LATEX »

請問多項式的問題
附加檔案
11.GIF
11.GIF (3.09 KiB) 已瀏覽 26775 次

頭像
thepiano
文章: 6070
註冊時間: 2008年 7月 29日, 10:12

Re: 102新化高中

文章 thepiano »

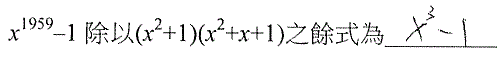
第二部份 填充第 3 題

令 f(x) = x^1959 - 1 = (x^2 + 1)(x^2 + x + 1)q(x) + ax^3 + bx^2 + cx + d

f(ω) = a + bω^2 + cω + d = 0
f(ω^2) = a + bω + cω^2 + d = 0
可得 b = c = a + d

f(i) = -ai - b + ci + d = -i - 1
c - a = -1
d - b = -1
d = a - 2

a = 1,b = c = 0,d = -1

LATEX
文章: 417
註冊時間: 2013年 7月 21日, 23:35

Re: 102新化高中

文章 LATEX »

可得 b = c = a + d 怎麼來的?可多寫幾步嗎?

頭像
thepiano
文章: 6070
註冊時間: 2008年 7月 29日, 10:12

Re: 102新化高中

文章 thepiano »

其實只要一條即可

由 f(ω) = a + bω^2 + cω + d = 0
[a + (-1/2)b + (-1/2)c + d] + [(c - b)(√3/2)i] = 0
a + (-1/2)b + (-1/2)c + d = 0 且 c - b = 0
...

LATEX
文章: 417
註冊時間: 2013年 7月 21日, 23:35

Re: 102新化高中

文章 LATEX »

懂了,謝謝老師!

LATEX
文章: 417
註冊時間: 2013年 7月 21日, 23:35

請問一題機率

文章 LATEX »

請問一題機率
附加檔案
55.GIF
55.GIF (19.82 KiB) 已瀏覽 26744 次

LATEX
文章: 417
註冊時間: 2013年 7月 21日, 23:35

一題三角函數

文章 LATEX »

22.GIF
22.GIF (4.18 KiB) 已瀏覽 26744 次

頭像
thepiano
文章: 6070
註冊時間: 2008年 7月 29日, 10:12

Re: 102新化高中

文章 thepiano »

這二題都是基本題,建議您先把高中課程(這是基本功)弄熟,再寫考古題
另外,在這個主題問題目,只要說什麼大題的第幾題即可,不用擷取圖檔

第一部份,填充第 7 題
未患病而被誤判成有患病的有 1970 - 1900 = 70 人
有患病而被誤判成未患病的有 1905 - 1900 = 5 人
所求 = (70 + 5)/2010

填充第 8 題
cosB = (a^2 + c^2 - b^2)/(2ac) = c/(2a)
a = b
c = (2/3)a
cosA = cosB = [(2/3)a]/(2a) = 1/3
sinA = sinB = (2/3)√2
sinC = sin(A + B) = (4/9)√2

8y383249
文章: 85
註冊時間: 2010年 8月 26日, 20:10

Re: 102新化高中

文章 8y383249 »

請問老師們 第二部分的第4題 我用判別式小於0
得到 (log2K )^2 < (1/4)
得 (根號)2/2 < k < (根號)2
請問我那裏錯了 ?
煩請指導
謝謝

頭像
thepiano
文章: 6070
註冊時間: 2008年 7月 29日, 10:12

Re: 102新化高中

文章 thepiano »

令 y = x^2 > 0
原方程改寫成 y^2 + 2√3(logk)y + [1 - (logk)^2] = 0 (底數 2 略去)
上述方程有 2 個相異正實根

12(logk)^2 - 4[1 - (logk)^2] > 0
-2√3(logk) > 0
1 - (logk)^2 > 0

......

回覆文章

回到「高中職教甄討論區」