106 中壢高中

版主: thepiano

vicki8210
文章: 1
註冊時間: 2017年 5月 22日, 10:04

Re: 106 中壢高中

文章 vicki8210 »

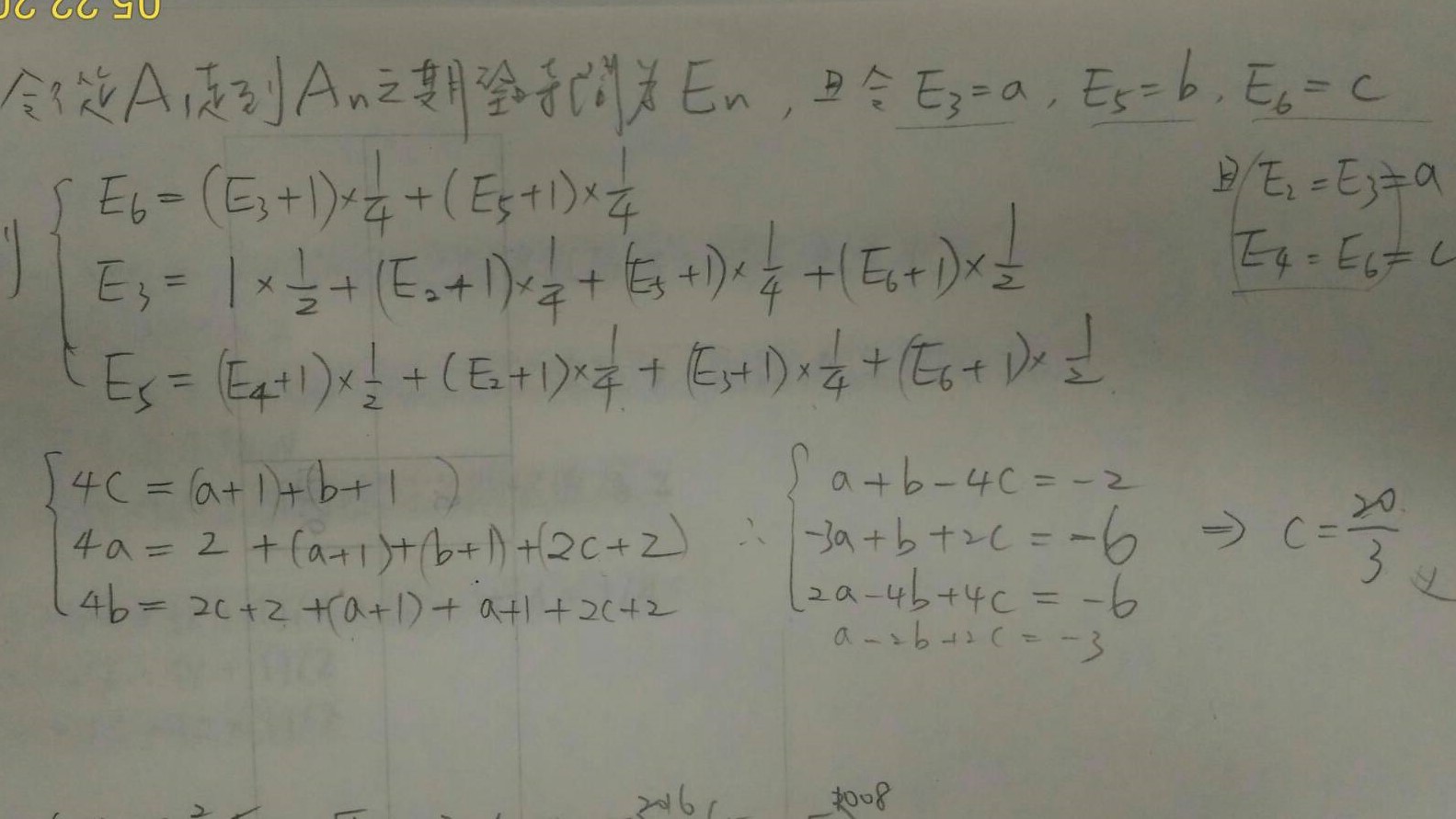
請問第十題我這樣的概念錯在哪兒呢?
附加檔案
10.jpg
10.jpg (177.02 KiB) 已瀏覽 27943 次

頭像
thepiano
文章: 6071
註冊時間: 2008年 7月 29日, 10:12

Re: 106 中壢高中

文章 thepiano »

每一條方程式的機率值之和應等於 1

LATEX
文章: 417
註冊時間: 2013年 7月 21日, 23:35

Re: 106 中壢高中

文章 LATEX »

請問計算1, 謝謝

頭像
thepiano
文章: 6071
註冊時間: 2008年 7月 29日, 10:12

Re: 106 中壢高中

文章 thepiano »

計算第 1 題
以下是以 0.5 為底
log(x^2 - 2x - 15) > log(x + 13)
所求是以下三個不等式的交集
x^2 - 2x - 15 > 0
x^2 - 2x - 15 < x + 13
cos(2x) ≧ 0

wubeagle
文章: 15
註冊時間: 2019年 1月 17日, 17:19

Re: 106 中壢高中

文章 wubeagle »

請教第4、5題(第5題,除了座標化,還有其他作法嗎?)

頭像
thepiano
文章: 6071
註冊時間: 2008年 7月 29日, 10:12

Re: 106 中壢高中

文章 thepiano »

第 4 題
44 - 8 = 4 * (11 - 2) = 4 * 9
4444 - 88 = 44 * (101 - 2) = 44 * 99
444444 - 888 = 444 * (1001 - 2) = 444 * 999
計算 6 + 66 + 666 + ... = (6/9) * (9 + 99 + 999 + ...) = (6/9)[10 + 10^2 + 10^3 + ... - n) = ...


第 5 題
OP = (3 * 4)/5 = 12/5
BP = 9/5,PA = 16/5

作 CD 垂直 AB 於 D
PD = AD = 8/5
CD = (1/2)OP = 6/5

BP/BD = PQ/CD
PQ = [(9/5)/(17/5)] * (6/5) = 54/85

wubeagle
文章: 15
註冊時間: 2019年 1月 17日, 17:19

Re: 106 中壢高中

文章 wubeagle »

謝謝 the piano 老師!

回覆文章

回到「高中職教甄討論區」