美夢成真教甄討論區
跳到內容
搜尋
進階搜尋
快速連結
沒有回覆的主題
最近討論的主題
搜尋
問答集
登入
註冊
討論區首頁
高中職教師專區
高中職教甄討論區
搜尋
【行列式】
版主:
thepiano
回覆文章
列印模式
搜尋
進階搜尋
2 篇文章 • 第
1
頁 (共
1
頁)
huanghs
文章:
72
註冊時間:
2018年 5月 9日, 14:40
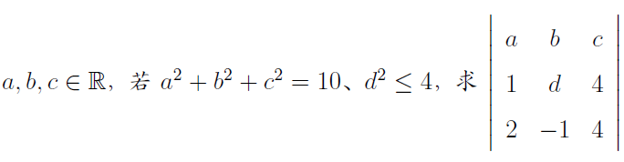
【行列式】
引言
文章
由
huanghs
»
2018年 7月 8日, 23:38
7.PNG (10.17 KiB) 已瀏覽 15320 次
回頂端
thepiano
文章:
6071
註冊時間:
2008年 7月 29日, 10:12
Re: 【行列式】
引言
文章
由
thepiano
»
2018年 7月 9日, 11:02
應是求最大值
d^2 ≦ 4,-2 ≦ d ≦ 2
(1,d,4) 和 (2,-1,4) 兩向量所張的平行四邊形面積 = √(20d^2 + 36d + 33)
當 d = 2 時,有最大值 √185
所求為 (1,d,4)、(2,-1,4)、(a,b,c) 三向量所張的平行六面體體積的最大值
= √185 * √10 = 5√74
回頂端
回覆文章
列印模式
顯示:
所有文章
1天
7天
2週
1個月
3個月
6個月
1年
排序:
發表人
發表時間
主題
方向:
依序遞增
依序遞減
2 篇文章 • 第
1
頁 (共
1
頁)
回到「高中職教甄討論區」
前往
站務區
↳ 站務公告
↳ 問題及意見反映
各縣市教師甄選簡章
↳ 正式教師甄選簡章區
↳ 代課教師甄選簡章區
↳ 私立學校教師甄選簡章區
↳ 其他機構代轉甄選訊息區
歷史檔案區
↳ 歷屆高中職教師甄選考古題專區
↳ 歷屆國中小暨公幼教師甄選考古題專區
↳ 歷屆國中小教師檢定考試題專區
↳ 教徵相關資料整理
高中職教師專區
↳ 高中職教甄討論區
↳ 高中職教甄考古題讀書交流區
↳ 高中職教甄經驗交流心得分享區
↳ 高中職代課經驗交流區
↳ 高中職實習教師交流區
國中教師專區
↳ 國中教甄討論區
↳ 國中教甄經驗交流心得分享區
↳ 國中代課經驗交流區
↳ 國中實習教師交流區
↳ 國中教甄國文科問題交流及討論區
↳ 國中教甄教育科問題交流及討論區
↳ 國中教甄其他科問題交流及討論區
國小教師專區
↳ 國小教甄討論區
↳ 國小教甄經驗交流心得分享區
↳ 國小代課經驗交流區
↳ 國小實習教師交流區
↳ 國小英語教師甄試專區
↳ 國小教甄國文科問題交流及討論區
↳ 國小教甄數學科問題交流及討論區
↳ 國小教甄教育科問題交流及討論區
↳ 國小教甄其他科問題交流及討論區
幼稚園教師專區
↳ 公幼教甄討論區
↳ 公幼教甄經驗交流心得分享區
↳ 公幼代課經驗交流區
↳ 公幼實習教師交流區
特殊學校教師專區
↳ 特教教甄討論區
↳ 特教教甄經驗交流區
↳ 特教教甄考古題讀書交流區
私校教師專區
↳ 私校教師經驗交流區
教師介聘專區
↳ 介聘討論區
談天說地區
↳ 八卦閒聊區
↳ 教育理念時事及教甄批評區
教徵相關連結
↳ 1111教職網
↳ 至聖 教甄 考情