[對數][謝謝老師]

版主: thepiano

回覆文章
LATEX
文章: 417
註冊時間: 2013年 7月 21日, 23:35

[對數][謝謝老師]

文章 LATEX »

擷取d.GIF
擷取d.GIF (9.36 KiB) 已瀏覽 18151 次
最後由 LATEX 於 2018年 12月 30日, 18:56 編輯,總共編輯了 1 次。

頭像
thepiano
文章: 6071
註冊時間: 2008年 7月 29日, 10:12

Re: [對數]

文章 thepiano »

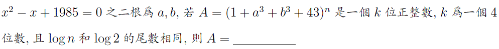
a^3 + b^3 = -5954

A = (-5910)^n 是幾千多位的正整數

n 為型如 2 * 10^m (m 為正整數) 的正偶數,且 999 < logA = n * log5910 < 9999

因 3 < log5910 < 4,故 n 取 2000

A = 5910^2000

回覆文章

回到「高中職教甄討論區」