複數的極式 (4題)
版主: thepiano
複數的極式 (4題)
又要麻煩老師了 謝謝您!!
- 附加檔案
-
- 08.png (24.07 KiB) 已瀏覽 23537 次
-
- 07.png (17.71 KiB) 已瀏覽 23537 次
-
- 06.png (9.94 KiB) 已瀏覽 23537 次
-
- 05.png (18.3 KiB) 已瀏覽 23537 次
Re: 複數的極式 (4題)
第 1 題
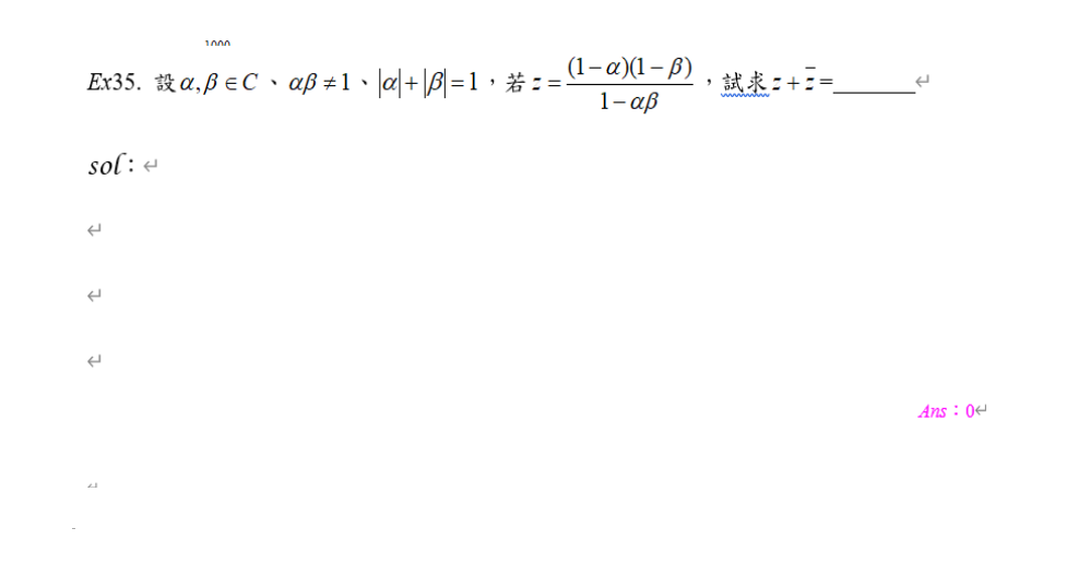
題目有問題
第 2 題
所求是 (1 + √3i)^2000 的實部
而 (1 + √3i)^2000 = [2(cos(π/3) + isin(π/3))]^2000
第 3 題
α 、β、γ、δ 都是單位圓上點
α + β + γ + δ = 0 可視為 α 和 β 是此單位圓某直徑的兩端點,且 γ 和 δ 是另一直徑的兩端點
所求即直徑平方的 2 倍
第 4 題
題目應是 (z_1 - a) / (z_1 + a) 是純虛數
令 z_1 = x + yi 代入上式,整理後可知 z_1 是在以原點為圓心,半徑為 a 的圓上
而 z_2 = [(1/2) ± (√5/2)i]z_1
如此即可求面積了
題目有問題
第 2 題
所求是 (1 + √3i)^2000 的實部
而 (1 + √3i)^2000 = [2(cos(π/3) + isin(π/3))]^2000
第 3 題
α 、β、γ、δ 都是單位圓上點
α + β + γ + δ = 0 可視為 α 和 β 是此單位圓某直徑的兩端點,且 γ 和 δ 是另一直徑的兩端點
所求即直徑平方的 2 倍
第 4 題
題目應是 (z_1 - a) / (z_1 + a) 是純虛數
令 z_1 = x + yi 代入上式,整理後可知 z_1 是在以原點為圓心,半徑為 a 的圓上
而 z_2 = [(1/2) ± (√5/2)i]z_1
如此即可求面積了
Re: 複數的極式 (4題)
感謝老師 第一題我覺得+如果改成= 應該就可以做了
第二題還在努力中
非常謝謝老師
第二題還在努力中
非常謝謝老師