請問一個算式

版主: thepiano

回覆文章
LATEX
文章: 417
註冊時間: 2013年 7月 21日, 23:35

請問一個算式

文章 LATEX »

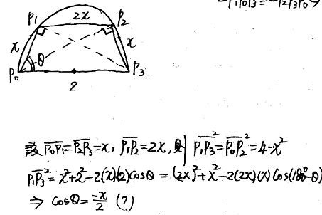
cos 如何得到 -x/2 謝謝~ 算了很久
附加檔案
擷取.GIF
擷取.GIF (9.67 KiB) 已瀏覽 15432 次

頭像
thepiano
文章: 6071
註冊時間: 2008年 7月 29日, 10:12

Re: 請問一個算式

文章 thepiano »

(P_1P_3)^2 = 4 - x^2 = x^2 + 4 - 4xcosθ

cosθ = x/2 才是

LATEX
文章: 417
註冊時間: 2013年 7月 21日, 23:35

Re: 請問一個算式

文章 LATEX »

如果根據我的式子,為什麼算不出這個答案? 我是利用對角互補+兩角分別做餘弦定理

頭像
thepiano
文章: 6071
註冊時間: 2008年 7月 29日, 10:12

Re: 請問一個算式

文章 thepiano »

LATEX 寫:如果根據我的式子,為什麼算不出這個答案? 我是利用對角互補+兩角分別做餘弦定理
您的式子在哪裡?題目要求的又是什麼?

LATEX
文章: 417
註冊時間: 2013年 7月 21日, 23:35

Re: 請問一個算式

文章 LATEX »

題目就是一開始的阿 求 P1P3 我沒想要用 POTOLEMY 定理 我只是想說為什麼換個方式答案就不對了?
附加檔案
擷取_1~1.GIF
擷取_1~1.GIF (9.67 KiB) 已瀏覽 15409 次

頭像
thepiano
文章: 6071
註冊時間: 2008年 7月 29日, 10:12

Re: 請問一個算式

文章 thepiano »

就從 cosθ = x/2 來算吧

x^2 + 2^2 - 2 * x * 2 * cosθ = (2x)^2 + x^2 - 2 * (2x) * x * cos(180度 - θ)
x^2 + 2^2 - 2 * x * 2 * (x/2) = (2x)^2 + x^2 - 2 * (2x) * x * (-x/2)
4 - x^2 = 5x^2 + 2x^3
x^3 + 3x^2 - 2 = 0
(x + 1)(x^2 + 2x - 2) = 0
x = √3 - 1

P_1P_3 = 12^(1/4)

LATEX
文章: 417
註冊時間: 2013年 7月 21日, 23:35

Re: 請問一個算式

文章 LATEX »

謝謝老師!

回覆文章

回到「高中職教甄討論區」