[代數][謝謝 thepiano 老師]

版主: thepiano

回覆文章
LATEX
文章: 417
註冊時間: 2013年 7月 21日, 23:35

[代數][謝謝 thepiano 老師]

文章 LATEX »

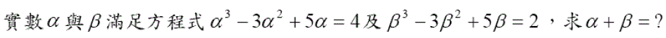
代數求值得問題
附加檔案
擷取.GIF
擷取.GIF (5.62 KiB) 已瀏覽 9729 次
最後由 LATEX 於 2015年 1月 28日, 20:17 編輯,總共編輯了 3 次。

頭像
thepiano
文章: 6071
註冊時間: 2008年 7月 29日, 10:12

Re: [代數]

文章 thepiano »

(α - 1)^3 + 2(α - 1) - 1 = 0
(β - 1)^3 + 2(β - 1) + 1 = 0
令 a = α - 1,b = β - 1
a^3 + 2a - 1 = 0
b^3 + 2b + 1 = 0
a^3 + b^3 + 2(a + b) = 0
(a + b)(a^2 - ab + b^2 + 2) = 0
a^2 - ab + b^2 + 2 > 0
故 a + b = 0
α + β = 2

LATEX
文章: 417
註冊時間: 2013年 7月 21日, 23:35

a^2 - ab + b^2 + 2 =(a-b)^2+ab+2 為何必大於0?

文章 LATEX »

a^2 - ab + b^2 + 2 =(a-b)^2+ab+2 為何必大於0?

頭像
thepiano
文章: 6071
註冊時間: 2008年 7月 29日, 10:12

Re: [代數]

文章 thepiano »

(a-b/2)^2+(3/4)b^2+2

回覆文章

回到「高中職教甄討論區」