[代數]級數的問題[謝謝 thepiano 老師]

版主: thepiano

回覆文章
LATEX
文章: 417
註冊時間: 2013年 7月 21日, 23:35

[代數]級數的問題[謝謝 thepiano 老師]

文章 LATEX »

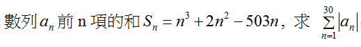
級數的問題
附加檔案
擷取.GIF
擷取.GIF (3.65 KiB) 已瀏覽 6319 次
最後由 LATEX 於 2015年 1月 28日, 18:33 編輯,總共編輯了 1 次。

頭像
thepiano
文章: 6071
註冊時間: 2008年 7月 29日, 10:12

Re: [代數]級數的問題

文章 thepiano »

a_n = S_n - S_(n-1) = 3n^2 + n - 504
a_1 ~ a_12 是負的,a_13 ~ a_30 是正的
......

回覆文章

回到「高中職教甄討論區」