[微積分]極限問題[謝謝 thepiano老師]

版主: thepiano

回覆文章
LATEX
文章: 417
註冊時間: 2013年 7月 21日, 23:35

[微積分]極限問題[謝謝 thepiano老師]

文章 LATEX »

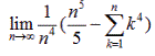
極限問題
附加檔案
77.GIF
77.GIF (2.04 KiB) 已瀏覽 6449 次
最後由 LATEX 於 2015年 5月 22日, 12:02 編輯,總共編輯了 1 次。

頭像
thepiano
文章: 6071
註冊時間: 2008年 7月 29日, 10:12

Re: [微積分]極限問題

文章 thepiano »

Σk^4 (k = 1 ~ n) = n^5/5 + n^4/2 + n^3/3 - n/30
...

回覆文章

回到「高中職教甄討論區」