[微積分][謝謝 thepiano老師]

版主: thepiano

回覆文章
LATEX
文章: 417
註冊時間: 2013年 7月 21日, 23:35

[微積分][謝謝 thepiano老師]

文章 LATEX »

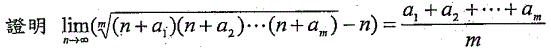
請問微積分的問題
附加檔案
062758vddditkt4m5cd0q5.gif
062758vddditkt4m5cd0q5.gif (3.81 KiB) 已瀏覽 6965 次
最後由 LATEX 於 2015年 10月 12日, 21:56 編輯,總共編輯了 1 次。

頭像
thepiano
文章: 6071
註冊時間: 2008年 7月 29日, 10:12

Re: [微積分]

文章 thepiano »

以前打的
附加檔案
limit4.gif
limit4.gif (10.5 KiB) 已瀏覽 6961 次

回覆文章

回到「高中職教甄討論區」