105 萬芳高中[謝謝 thepiano 老師]

版主: thepiano

回覆文章
LATEX
文章: 417
註冊時間: 2013年 7月 21日, 23:35

105 萬芳高中[謝謝 thepiano 老師]

文章 LATEX »

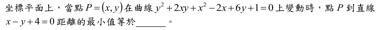
請問這個問題
附加檔案
ddd.GIF
ddd.GIF (5.33 KiB) 已瀏覽 7786 次
最後由 LATEX 於 2016年 9月 30日, 20:21 編輯,總共編輯了 1 次。

頭像
thepiano
文章: 6071
註冊時間: 2008年 7月 29日, 10:12

Re: 105 萬芳高中

文章 thepiano »

x^2 + 2xy + y^2 - 2x + 6y + 1 = 0 是拋物線
令過其頂點的切線為 y = x + k
代入上述方程,用判別式可得 k = 0
所求就是兩平行線 y = x 和 y = x + 4 的距離

也可以用旋轉來做,您自己試試

回覆文章

回到「高中職教甄討論區」