[代數][謝謝老師]

版主: thepiano

回覆文章
LATEX
文章: 417
註冊時間: 2013年 7月 21日, 23:35

[代數][謝謝老師]

文章 LATEX »

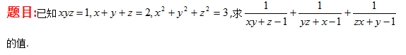
代數
20170821152519.png
20170821152519.png (3.72 KiB) 已瀏覽 12607 次
最後由 LATEX 於 2017年 10月 8日, 16:03 編輯,總共編輯了 1 次。

頭像
thepiano
文章: 6071
註冊時間: 2008年 7月 29日, 10:12

Re: [代數]

文章 thepiano »

x + y + z = 2
xy + yz + zx = 1/2
xyz = 1
x、y、z 是 t^3 - 2t^2 + t/2 - 1 = 0 之三根
t = 2、(1/√2)i、(-1/√2)i
剩下的就簡單了

LATEX
文章: 417
註冊時間: 2013年 7月 21日, 23:35

Re: [代數]

文章 LATEX »

可以問一下怎麼帶進去 ?

頭像
thepiano
文章: 6071
註冊時間: 2008年 7月 29日, 10:12

Re: [代數]

文章 thepiano »

x = 2
y = (1/√2)i
z = (-1/√2)i
代入求值式

回覆文章

回到「高中職教甄討論區」