第 1 頁 (共 1 頁)
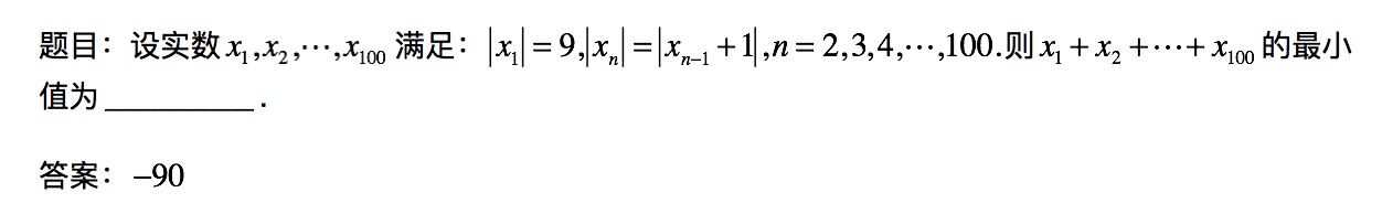
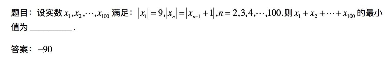
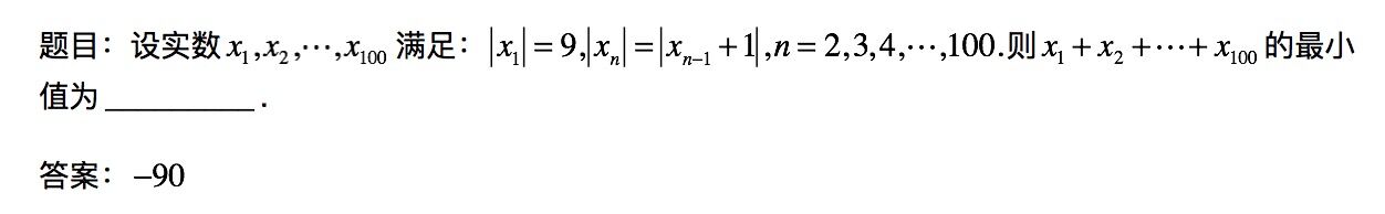
代數[謝謝]
發表於 : 2017年 10月 27日, 10:31
由 LATEX
代數

- 汪喳喳.jpg (21.27 KiB) 已瀏覽 11838 次
Re: 代數
發表於 : 2017年 10月 27日, 11:18
由 thepiano
x_2^2 = x_1^2 + 2x_1 + 1
x_3^2 = x_2^2 + 2x_2 + 1
x_4^2 = x_3^2 + 2x_3 + 1:
:
:
x_100^2 = x_99^2 + 2x_99 + 1
x_100^2 = x_1^2 + 2(x_1 + x_2 + ... + x_99) + 99
x_1 + x_2 + ... + x_99 + x_100
= (x_100^2 - x_1^2 - 99 + 2x_100)
= (x_100 + 2x_100 - 180) / 2
= [(x_100 + 1)^2 - 181] / 2
x_100 = 0 或 -2 時,有最小值 -90
Re: 代數
發表於 : 2017年 10月 27日, 12:18
由 LATEX
對於取得最小值-90時的數列個數,不知道是否能計算出來……
因為可以構造很多符合題意的數列……不知能否計數?
Re: 代數
發表於 : 2017年 10月 27日, 12:25
由 thepiano
你可以問問出題者,他想不想算!