第 1 頁 (共 1 頁)
[幾何][謝謝老師]
發表於 : 2018年 4月 9日, 19:05
由 LATEX

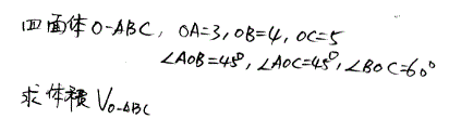
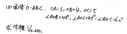
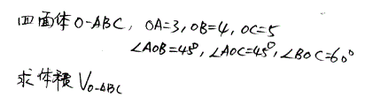
- DDD.GIF (4.42 KiB) 已瀏覽 15404 次
Re: [幾何]
發表於 : 2018年 4月 9日, 20:49
由 thepiano
易知 AB^2 = 25 - 12√2,BC^2 = 21,CA^2 = 34 - 15√2
定座標 O(0,0,0),B(4,0,0),C(5/2,(5/2)√3,0),A(x,y,z)
OA^2 = x^2 + y^2 + z^2 = 9
AB^2 = (x - 4)^2 + y^2 + z^2 = 25 - 12√2
CA^2 = (x - 5/2)^2 + (y - (5/2)√3)^2 + z^2 = 34 - 15√2
可求出 z = √3
所求 = (1/2) * 4 * (5/2)√3 * √3 * (1/3) = 5